2025上海水磨桑拿会所 ,全国上海模特高端伴游,2025成都24小时上门茶工作室,深圳品茶工作室联系方式

ÊÖ»úɨÂ룬΢ÐÅ×Éѯ!

·ÅÉäÐÔ-ÖÐ×Ó²âÁ¿ÒÇ|ÖÐ×Ó¼à²âÒÇ|ÖÐ×Ó±¨¾¯ÒÇ|ÖÐ×Ó¼ì²âÒÇ|ÖÐ×Ó¼ÁÁ¿ÂÊÒÇ|ÖÐ×Ó¼ÁÁ¿µ±Á¿ÒÇ-ÉϺ£ÈÊÈÕ·øÉä·À»¤É豸ÓÐÏÞ¹«Ë¾

µç»°£º86-021-69515711
´«Õ棺86-021-69515712

³ÉÏÈÉú-ÉϺ£ÈÊÈÕ·øÉä·À»¤ ¿Í·þ

ÁªÏµÎÒÃÇ
¹Ø×¢£ºÈÊÈտƼ¼
¹Ø×¢ÈÊÈտƼ¼;»ñÈ¡·øÉä·À»¤ÖªÊ¶£¡
ÍÆ¼ö²úÆ·
  •   REN310 ÔÚÏßʽÉäÏß±¨¾¯ÒÇ

        REN310ÐÍÁ¢Öùʽ·øÉä¼à²âϵͳ£¬Ö÷ÒªÓÃÓÚ·ÅÉäÐÔ¼à²â³¡ËùµÄÐÐÈË»òÐаüͨ¹ýµÄ¼à²âϵͳ£¬²ÉÓôóÌå»ýµÄÉÁ˸Ìå̽²âÆ÷×÷Ϊ̽²âÆ÷£¬¾ßÓÐÌå»ýС£¬±ãÓÚЯ´ø£¬ÁéÃô¶È¸ß£¬Îó²îСµÄÌØµã£¬ÊÊÓÃÓëºËÓ¦¼±µÈÌØÊâµÄ·ÅÉäÐÔ¼ì²â³¡ºÏ¡£¸ÃϵͳÖ÷ÒªÓɰ²×°ÔÚÏÖ³¡µÄÁ¢ÖùºÍÔ¶³Ì¼ÆËã»úϵͳ×é³É¡£Á¢ÖùÄÚÖõÄ

  •   µçÀë·øÉä ¾¯½ä´ø

    ÑÕÉ«£º»Æ°×Ïà¼ä£¬ºìÉ«ÎÄ×Ö¡°µ±ÐĵçÀë·øÉä  ÑϽû½øÈ롱   ²ÄÁÏ£ºµÓÂÚ²¼   ¹æ¸ñ£º4.5cm*100m   ÌØµã£ºµçÀë·øÉäÌØÓÐÈýÒ¶·û¾¯Ê¾·ûºÅºÍ±êÓï   ÓÃ;£ºÔÚ¹¤ÒµÌ½ÉË¡¢Ê¯ÓÍ¿±Ì½µÈʹÓ÷ÅÉäÔ´»òÉäÏß×°Öõij¡ËùÖÐÐèÒª¸ôÀë»®·Ö³ö¼à¶½ÇøºÍ¹ÜÀí

  •   REN200 ¸öÈ˼ÁÁ¿±¨¾¯ÒÇ

       REN200ÐÍX¡¢¦Ã¸öÈ˼ÁÁ¿±¨¾¯ÒÇ£¨ÓÖ½ÐX¡¢¦Ã·øÉä¸öÈ˼ÁÁ¿µ±Á¿HP(10)¼à²âÒÇ£©ÄÚÖøßÁéÃô¶È¸Ç¸ñ¼ÆÊý¹ÜΪ̽²âÆ÷£¬Ö÷ÒªÓÃÀ´¼à²â¸÷ÖÖ·ÅÉäÐÔ¹¤×÷³¡ËùµÄX¡¢¦ÃÒÔ¼°Ó²¦ÂÉäÏߵķøÉ䣬¾ßÓÐÏìÓ¦¿ì£¬²âÁ¿·¶Î§¿íµÄÌØµã¡£ÄÜÏÔʾ¹¤×÷³¡ËùµÄ¼ÁÁ¿µ±Á¿ÂʺÍÀÛ»ý¼ÁÁ¿£¬¸ü»»µç³ØÊ±£¬ÈÕÆÚ¼°ÀÛ»ýÊý¾ÝÄÜÓÀ¾Ã±£

  •   REN-NaI30 ·øÉä̽ͷ

    RENϵÁÐÖÇÄÜ»¯·øÉä̽ͷ¾ù¿ÉºÍREN300¡¢REN300A¡¢REN300BϵÁÐÖ÷»úÅäÌ×ʹÓÃ,Ò²¿ÉÒÔµ¥¶ÀÅäÌ×RenRiArea·øÉäÇøÓò¼à²âÈí¼þʹÓá£ÇÒ¾ßÓÐRS485/RS232µÄͨѶÄÜÁ¦¡£ËùÓÐ̽ͷ¾ù¿Éµ¥¶ÀÍâ½Ó±¨¾¯µÆ£¬ÔÚ³¬ãÐÖµµÄÇé¿öϾ͵ظø³öÉù¹â±¨¾¯¡£ 1¡¢²âÁ¿ÉäÏßÀàÐÍ£ºX¡¢¦ÃÉäÏß2¡¢Ì½²âÆ÷£º¦µ30¡Á

  •   REN700 ͨµÀʽ³µÁ¾·ÅÉäÐÔ¼ì²âϵͳ

    ¼ò½é£º     REN700ÐÍͨµÀʽ³µÁ¾·ÅÉäÐÔ¼ì²âϵͳÊÇÓÃÓÚ¶Ôͨ¹ýͨµÀµÄ¿¨³µ¡¢¼¯×°ÏäµÈ³µÁ¾ÄÚÔËÊäÎïÆ·µÄ·ÅÉäÐÔÎÛȾ¼°·øÉäй¶ˮƽµÄÈ«Ììºò̽²âϵͳ¡£¸Ãϵͳ¾ßÓÐÁéÃô¶È¸ß¡¢Ì½²â·¶Î§¹ã¡¢ÏìӦʱ¼ä¶ÌµÈÌØµã£¬¿ÉʵÏÖ×Ô¶¯·øÉ䱨¾¯¡¢×Ô¶¯Êý¾Ý´æ´¢¡¢×Ô¶¯×¥ÅÄͨ¹ý³µÁ¾ÕÕÆ¬µÈ¹¦ÄÜ¡£Ö÷Òª°²×°ÔÚºË

  •   ·øÉä¾¯Ê¾ÅÆ ·øÉä¾¯Ê¾ÅÆ

    ²ÄÁÏ£º PVCËÜÁÏ   ²»¸É½º  ¹æ¸ñ£º 25 ¡Á 30cm ˵Ã÷£ºµçÀë·øÉ侯¸æ±êÖ¾µÄº¬ÒåÊÇʹÈËÃÇ×¢Òâ¿ÉÄÜ·¢ÉúµÄΣÏÕ¡£Æä±³¾°Îª»ÆÉ«£¬ÕýÈý½ÇÐα߿ò¼°µçÀë·øÉä±ê־ͼÐξùΪºÚÉ«£¬¡°µ±ÐĵçÀë·øÉ䡱ÓúÚÉ«´ÖµÈÏßÌå×Ö¡£±êÅÆµÄ³ß´ç¡¢ÐÎ×´ºÍÑÕÉ«¼°ÎÄ×ÖÃèÊöÑϸñ°´¡¶GB 18871-200

  •   Ç¦Ò Ǧ·þ,ǦÒÂ,Ǧȹ,Ǧñ,ǦÑÛ¾µ,ǦÊÖÌ×,Ǧ½ÅÌ×,Ǧͷ¿ø

    Ò»¡¢³¤Ðä¡¢°ëÐä¡¢ÎÞÐäÉäÏß·À»¤·þ   1¡¢·À»¤Ç¦Æ¤£ºÈáÈí·À»¤²ÄÁÏ£»  2¡¢·À»¤ÐÔÄܼѣºÇ¦·Ö²¼¾ùÔÈ£»Ìṩ0.35/0.5mmPbǦµ±Á¿£» ÄÍÄ¥¡¢Ò×ÇåÏ´±íÃæ²ÄÁÏ  3¡¢½á¹¹Éè¼Æ£º²ÉÓöà²ã²ÄÁÏÖÆ×÷£¬¼ÓÉÏרҵµÄÈËÐÔ»¯½á¹¹Éè¼Æ£¬ÈÃÄú´©´÷ÊæÊÊ£»  4¡¢ ¾«ÃÜÖÆ×÷¹¤ÒÕ£º×ö¹¤¾«

  •   REN300B ¹Ì¶¨Ê½ÉäÏß±¨¾¯ÒÇ

    REN300BÔÚÏß·øÉ䰲ȫ±¨¾¯ÒÇÊÇÒ»ÖÖÐÂÐ͵Äx-¦Ã·øÉäÁ¬Ðø¼à²â±¨¾¯×°Öã¬Ëü²ÉÓÃÌØÊâÉè¼ÆµÄǰÖ÷Ŵóµç·£¬¾ßÓÐÁéÃô¶È¸ß¡¢²Ù×÷·½±ã¡¢×Ô¶¯ÏÔʾºÍ³¬ãÐÖµ±¨¾¯µÈÌØµã£¬ÄÜʵʱ¸ø³öx¦Ã·øÉä¼ÁÁ¿ÂÊ¡£¿¼Âǵ½ÏÖ³¡²Ù×÷¡¢Ó¦¼±¿ìËÙÏìÓ¦µÄÐèÒª£¬Ö÷»ú°²×°ÔÚ·øÉäÏÖ³¡,ʵÏÖʵʱ¼à²âÓë¾ÍµØ±¨¾¯£¬Í¨¹ýRS485ͨѶʵÏÖ×Ü¿ØÖÆÊÒ×Ô¶¯¼à¿Ø¡£

¼¼ÊõÎÄÕÂ

·ÅÉäÐÔ

2007/7/24 18:29:00

Ô­×ÓºË×Ô·¢µØ·ÅÉä³ö¸÷ÖÖÉäÏßµÄÏÖÏó£¬Èç ¦Á¡¢¦Â¡¢¦Ã·ÅÉäÐԵȡ£
¡¡¡¡1896Äê,·¨¹ú¿ÆÑ§¼ÒA.-H.±´¿ÉÀÕ¶ûÔÚÑо¿ÓËÑεÄÓ«¹âÏÖÏóʱ£¬·¢ÏÖº¬ÓËÎïÖÊÄÜ·¢Éä³ö´©Í¸Á¦ºÜÇ¿µÄ²»¿É¼ûµÄÉäÏߣ¬Ê¹ÕÕÏàµ×Ƭ¸Ð¹â¡£ºóÀ´£¬¾­¹ýÈËÃǵĶàÄêÑо¿£¬ÖÕÓÚÖ¤Ã÷ËüÊÇÈýÖֳɷÖ×é³ÉµÄ£ºÒ»ÖÖÊǸßËÙÔ˶¯µÄº¤Ô­×ÓºËÁ£×ÓÊø£¬³ÆÎª¦Á ÉäÏß¡£ËüµÄµçÀë×÷Óô󣬹ᴩ±¾ÁìС£¬´©²»Í¸Ò»Õű¡Ö½¡£ÁíÒ»ÖÖÊǸßËÙÔ˶¯µÄµç×ÓÊø£¬³ÆÎª¦ÂÉäÏß¡£ËüµÄµçÀë×÷ÓýÏС£¬¹á´©±¾Áì½Ï´ó£¬µ«ÈÔ´©²»Í¸Ò»Õű¡½ðÊôƬ¡£µÚÈýÖÖÊDz¨³¤ºÜ¶ÌµÄµç´Å²¨£¬³ÆÎª¦ÃÉäÏß¡£ËüµÄµçÀë×÷ÓÃ×îС£¬¹á´©±¾Áì×î´ó£¬¿ÉÒÔ´©¹ýÀýÈç1ÀåÃ׺ñµÄǦ°å¡£
¡¡¡¡·ÅÉäÐÔÉäÏßµÄÐÔÖÊ¡¢·¢Éä»úÖÆÒÔ¼°¸÷ÖֿƼ¼ÉϵÄÓ¦Óã¬Ò»Ö±ÊÇÔ­×ÓºËÎïÀíѧÑо¿µÄÒ»¸öÖØÒªµÄ·½Ãæ¡£
¡¡¡¡·ÅÉäÐÔµÄÀàÐÍ ¡¡
·ÅÉäÐÔÓÐÌìÈ»·ÅÉäÐÔºÍÈ˹¤·ÅÉäÐÔÖ®·Ö¡£ÌìÈ»·ÅÉäÐÔÊÇÖ¸ÌìÈ»´æÔڵķÅÉäÐÔºËËØËù¾ßÓеķÅÉäÐÔ¡£ËüÃÇ´ó¶àÊôÓÚÓÉÖØÔªËØ×é³ÉµÄÈý¸ö·ÅÉäϵ£¨¼´îÊϵ¡¢ÓËϵºÍï¹Ïµ£©¡£È˹¤·ÅÉäÐÔÊÇÖ¸Óú˷´Ó¦µÄ°ì·¨Ëù»ñµÃµÄ·ÅÉäÐÔ¡£È˹¤·ÅÉäÐÔ×îÔçÊÇÔÚ1934ÄêÓÉ·¨¹ú¿ÆÑ§¼ÒÔ¼Àï°Â-¾ÓÀï·ò¸¾·¢Ïֵ썼ûÈ˹¤·ÅÉäÐÔºËËØ£©¡£
¡¡¡¡ÏÖÔÚÖªµÀ£¬Ðí¶àÌìÈ»ºÍÈ˹¤Éú²úµÄºËËØ¶¼ÄÜ×Ô·¢µØ·ÅÉä³öÉäÏß¡£·Å³öµÄÉäÏßÀàÐͳý ¦Á¡¢¦Â¡¢¦ÃÒÔÍ⣬»¹ÓÐÕýµç×Ó¡¢ÖÊ×Ó¡¢ÖÐ×Ó¡¢ÖÐ΢×ÓµÈÆäËûÁ£×Ó¡£ÄÜ×Ô·¢µØ·ÅÉä³öÉäÏߵĺËËØ£¬³ÆÎª·ÅÉäÐÔºËËØ£¨ÒÔǰ³£³ÆÎª·ÅÉäÐÔÍ¬Î»ËØ£©£¬Ò²½Ð²»Îȶ¨ºËËØ¡£ÊµÑé±íÃ÷£¬Î¶ȡ¢Ñ¹Á¦¡¢´Å³¡¶¼²»ÄÜÏÔÖøµØÓ°ÏìÉäÏߵķ¢Éä¡£ÕâÊÇÓÉÓÚζȵÈÖ»ÄÜÒýÆðºËÍâµç×Ó״̬µÄ±ä»¯£¬¶ø·ÅÉäÏÖÏóÊÇÓÉÔ­×ÓºËÄÚ²¿±ä»¯ÒýÆðµÄ£¬Í¬ºËÍâµç×Ó״̬µÄ¸Ä±ä¹ØÏµºÜС¡£³ý×Ô·¢ÁѱäÍ⣬·ÅÉäÏÖÏóÒ»°ãÓëË¥±ä¹ý³ÌÓйØ£¬Ö÷Ҫͬ¦ÁË¥±ä¡¢¦ÂË¥±ä¹ý³ÌÓйØ¡£
¡¡¡¡¦Á ·ÅÉäÐÔ³öÏÖÔÚ¦ÁË¥±ä¹ý³ÌÖС£´Ëʱ£¬Ë¥±äºóµÄÊ£ÓàºË£¨Í¨³£½Ð×Ӻˣ©ÓëË¥±äǰµÄÔ­×ÓºË(ͨ³£½ÐĸºË)Ïà±È£¬Ô­×ÓÐòÊý¼õÉÙ2£¬ÖÊÁ¿Êý¼õÉÙ4¡£¦ÁË¥±äÊÇĸºËͨ¹ýÇ¿Ï໥×÷ÓúÍËíµÀЧӦ£¬·¢Éä¦Á Á£×Ó¶ø·¢ÉúµÄ¡£
¡¡¡¡¦Â·ÅÉäÐÔ³öÏÖÔÚ¦ÂË¥±ä¹ý³ÌÖС£¦ÂË¥±äÓÐÈýÖÖÀàÐÍ£º¢Ù ¦Â+Ë¥±ä,·Å³öÕýµç×ÓºÍÖÐ΢×ӵĦÂË¥±ä£»¢Ú ¦Â-Ë¥±ä£¬·Å³öµç×Ӻͷ´ÖÐ΢×ӵĦÂË¥±ä£»¢Û ¹ìµÀµç×Ó·ý»ñ£¬·ý»ñÒ»¸ö¹ìµÀµç×Ó²¢·Å³öÒ»¸öÖÐ΢×ӵĹý³Ì¡£¦ÂË¥±äÊÇͨ¹ýÈõÏ໥×÷Óöø·¢ÉúµÄ¡£
¡¡¡¡¦Ã·ÅÉäÐÔͨ³£ºÍ¦ÁË¥±ä»ò¦ÂË¥±äÓÐÁªÏµ¡£¦Á ºÍ¦ÂË¥±äµÄ×ÓºËÍùÍù´¦ÓÚ¼¤·¢Ì¬¡£´¦ÓÚ¼¤·¢Ì¬µÄÔ­×ÓºËÒª·Å³ö¦ÃÉäÏß¶øÏò½ÏµÍ¼¤·¢Ì¬»ò»ù̬ԾǨ£¬Õâ½Ð¦ÃԾǨ¡£Òò´Ë£¬¦ÃÉäÏßµÄ×Ô·¢·ÅÉäÒ»°ãÊǰéËæ¦Á »ò¦ÂÉäÏß²úÉúµÄ¡£
¡¡¡¡¦ÂË¥±äËùÐγɵÄ×ÓºË,µ±Æä¼¤·¢ÄÜ×ã¹»¸ßʱ,ÓпÉÄÜ·ÅÉäÖÐ×Ó¡¢ÖÊ×Ó»ò¦Á Á£×Ó£¬ÉõÖÁ¿ÉÒÔ²úÉúÁѱä¡£ÕâЩ˥±äÀàÐÍ·Ö±ð½Ð×ö¦Â»º·¢ÖÐ×Ó·¢Éä(¦Â-n)¡¢¦Â»º·¢ÖÊ×Ó·¢Éä(¦Â-p)¡¢¦Â»º·¢¦Á ·¢Éä(¦Â-¦Á)ºÍ¦Â»º·¢Áѱä(¦Â-f)¡£
¡¡¡¡×Ô·¢ÁѱäÊÇ·ÅÉäÏÖÏóµÄÁíÒ»ÖÖÀàÐÍ£¨¼ûºËÁѱ䣩¡£
Ä³Ð©ÖØºË¿ÉÒÔ×Ô·¢µØ·ÖÁѳÉÁ½¸öÖÊÁ¿Ïà²î²»¶àµÄÔ­×Ӻˣ¬²¢·Å³ö¼¸¸öÖÐ×Ó¡£
¡¡¡¡ÖÊ×Ó·ÅÉäÐÔÒ²ÊÇ·ÅÉäÐÔµÄÒ»ÖÖ¡£ÀýÈç´¦ÓÚ¼¤·¢Ì¬µÄÄÜ×Ô·¢µØ·ÅÉä³öÖÊ×Ó£¬ÆäË¥±ä·½Ê½ÈçÏ£º

ÕâÊÇÆù½ñÈËÃÇΩһ֪µÀµÄ²»ÊôÓÚ»º·¢ÖÊ×ÓµÄÖÊ×Ó·ÅÉäÐÔµÄÀý×Ó¡£
¡¡¡¡Ë¥±ä¹æÂÉ ¡¡·ÅÉäÐÔÔ­×Ӻ˵ÄË¥±äÊÇÒ»¸öͳ¼Æ¹ý³Ì£¬ËùÒÔ·ÅÉäÐÔÔ­×ÓµÄÊýÄ¿ÔÚË¥±äʱÊǰ´Ö¸Êý¹æÂÉËæÊ±¼äµÄÔö¼Ó¶ø¼õÉٵ쬳ÆÎªÖ¸ÊýË¥¼õ¹æÂÉ

¡£

ÆäÖÐNoÊÇË¥±äʱ¼ät£½0ʱµÄ·ÅÉäÐԺ˵ÄÊýÄ¿£¬NÊÇtʱ¿ÌµÄ·ÅÉäÐԺ˵ÄÊýÄ¿£¬¦ËÊÇË¥±ä³£Êý,±íʾ·ÅÉäÐÔÎïÖÊËæÊ±¼äË¥¼õ¿ìÂýµÄ³Ì¶È¡£¶ÔÈ·¶¨ºË̬µÄ·ÅÉäÐÔºËËØ£¬¦Ë Êdz£Êý£¬ËüÒ²±íʾµ¥Î»Ê±¼ä¸ÃÖÖÔ­×Ӻ˵ÄË¥±ä¼¸ÂÊ¡£
¡¡¡¡·ÅÉäÐÔ»î¶È ¡¡´¦ÓÚÄ³Ò»ÌØ¶¨ÄÜ̬µÄ·ÅÉäÐÔºËÔÚµ¥Î»Ê±¼äµÄË¥±äÊý£­dN/dt£¬¼Ç×÷A¡£ÓÉÖ¸ÊýË¥¼õ¹æÂÉ¿ÉÒÔ¿´µ½£¬A£½-dN/dt£½¦ËN¡£
¡¡¡¡·ÅÉäÐÔ»î¶ÈµÄ¹ú¼Êµ¥Î»ÊDZ´¿ÉÀÕ¶û(Bq)£¬Ëü¶¨ÒåΪÿÃëÒ»´ÎË¥±ä£¬ÓëÒÔÍù·ÅÉäÐÔ»î¶ÈµÄ³£Óõ¥Î»¾ÓÀï(Ci)µÄ¹ØÏµÊÇ
¡¡¡¡¡¡¡¡¡¡¡¡¡¡¡¡1Ci£½3.7¡Á1010Bq¡£
·ÅÉäÐÔÔ´µÄ·ÅÉäÐÔ»î¶ÈͬÆäÖÊÁ¿Ö®±È£¬³ÆÎª±È»î¶È¡£
¡¡¡¡²âÁ¿·ÅÉäÐÔ»î¶ÈµÄ·½·¨È¡¾öÓÚÉäÏßµÄÀàÐÍ¡¢»î¶ÈµÄµÈ¼¶µÈ£¬Í¨³£·ÖΪ¾ø¶Ô²âÁ¿ºÍÏà¶Ô²âÁ¿Á½´óÀà¡£¾ø¶Ô²âÁ¿ÊÇÓòâÁ¿×°ÖÃÖ±½Ó°´ÕÕ¶¨Òå½øÐеIJâÁ¿¡£ÔÚʵ¼ÊÓ¦ÓÃÖзÅÉäÔ´´ó¶àÊǦ»ò¦Á ·ÅÉäÐÔ£¬»î¶È¶àÊýÊÇ΢¾ÓÀï¼¶µÄ£¬ÕâÀà·ÅÉäÐÔ»î¶ÈµÄ¾ø¶Ô²âÁ¿·½·¨Ö÷ÒªÓÐСÁ¢Ìå½Ç·¨¡¢4¦Ð¼ÆÊý·¨ºÍ·ûºÏ·¨µÈÈýÖÖ¡£Ïà¶Ô²âÁ¿ÊÇÓÃÒ»¸öÒÑÖª»î¶ÈµÄ±ê×¼Ô´Óë´ý²âÑùÆ·ÔÚÏàͬÌõ¼þϽøÐвâÁ¿£¬¸ù¾ÝËüÃǼÆÊýÂʵıÈÖµºÍ±ê×¼Ô´µÄ»î¶È¼´¿ÉËã³ö´ý²âÔ´µÄ»î¶È¡£
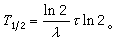
¡¡¡¡°ëË¥ÆÚ ¡¡´¦ÓÚÄ³Ò»ÌØ¶¨ÄÜ̬µÄ·ÅÉäÐÔÔ­×Ӻ˵ÄÊýÄ¿»ò»î¶ÈË¥¼õµ½Ô­À´´óСµÄÒ»°ëËùÐèµÄʱ¼ä£¬Í¨³£Ó÷ûºÅT©Í±íʾ¡£
¡¡¡¡Æ½¾ùÊÙÃüÖ¸´¦ÓÚÄ³Ò»ÌØ¶¨ÄÜ̬µÄ·ÅÉäÐÔÔ­×ÓºËÆ½¾ùÉú´æµÄʱ¼ä¡£
¡¡¡¡ÀûÓÃÖ¸ÊýË¥¼õ¹æÂÉ,ÈÝÒ׵õ½°ëË¥ÆÚT©Íͬ˥±ä³£Êý¦Ë»òƽ¾ùÊÙÃü¦ÓµÄ¹ØÏµÈçÏÂ

¡¡¡¡¸÷ÖÖ·ÅÉäÐÔºËËØµÄ°ëË¥ÆÚÔÚ¼«´óµÄ·¶Î§±ä»¯£¬Ò»°ã˵À´£¬ºËËØÆ«Àë¦ÂÎȶ¨ÏßÔ½Ô¶(¼ûÔ¶Àë¦ÂÎȶ¨ÏߵĺËËØ)£¬ËüµÄ°ëË¥ÆÚÔ½¶Ì¡£¶ÔÓÚ²»Í¬·¶Î§µÄ°ëË¥ÆÚ²ÉÈ¡²»Í¬·½·¨²âÁ¿¡£
¡¡¡¡¶Ô°ëË¥ÆÚÔÚ10-9Ãëµ½Ã뷶ΧµÄºËËØ,²ÉÓÃÖ±½Ó²âÁ¿N(t)µÄ·½·¨£¬ÀûÓÃÖ¸ÊýË¥¼õ¹æÂÉÇó³öT©Í¡£¶Ô°ëË¥ÆÚÔÚÊý·ÖÖÓµ½1¡«2ÄêµÄºËËØ£¬²ÉÓÃË¥¼õ¸ú×Ù·¨£¬²âÁ¿Ì½²âÆ÷¼ÆÊýÂÊËæÊ±¼äµÄ±ä»¯,Çó³öT©Í¡£¶Ô°ëË¥ÆÚÔÚ10ÄêÒÔÉϵĺËËØ£¬²ÉÓ÷ÅÉäÐԱȶȷ¨¡£´ËÍ⻹Óвⶨ×Ӻ˷¨µÈ£¬ÕâЩ·½·¨¶¼»ùÓÚ·ÅÉäÐÔµÄÖ¸ÊýË¥¼õ¹æÂÉ¡£¶ÔÓÚ¼«¶ÌµÄ°ëË¥ÆÚ£¨Ð¡ÓÚ10-9Ã룩µÄ²âÁ¿,ÐèÒª²ÉÓÃÒ»Ð©ÌØÊâµÄ¼¼Êõ£¨¼ûºËÄܼ¶ÊÙÃü²âÁ¿£©¡£

¡¡¡¡·ÅÉäÐÔµÄÑо¿ÊÇÊ®·ÖÖØÒªµÄ¡£»ùÓÚ·ÅÉäÐÔµÄÑо¿Ëù½¨Á¢µÄË¥±ä¸ÙͼÊÇÔ­×ÓºË
½á¹¹ÀíÂÛÑо¿µÄÖØÒªÒÀ¾ÝÖ®Ò»¡£Í¨¹ý¸÷ÖÖºË̬µÄË¥±äÌØÐԵIJâÁ¿¿ÉÑо¿¸÷ÖÖºËÐÔÖʺͺ˷´Ó¦»úÖÆ¡£´óÁ¿Ô¶Àë¦ÂÎȶ¨ÏߵĺËËØ¾ÍÊǸù¾ÝËüÃǵÄË¥±äÌØÐÔ½øÐмø¶¨ºÍÑо¿µÄ¡£
¡¡¡¡·ÅÉäÐÔÔÚÐí¶àѧ¿ÆµÄÑо¿ÖУ¬ÔÚ¹¤Å©Ò½ºÍ¾üʵȲ¿ÃŶ¼ÓÐÖØÒªÓ¦Óá£ÀýÈ磬ÔÚ¹¤ÒµÖеĦÂÉäÏß²âºñ¶ÈºÍ¦ÃÉäÏß̽ÉË£¬Å©ÒµÖеķøÕÕÓýÖÖºÍÉäÏߴ̼¤ÉúÎïÉú³¤£¬ÒÔ¼°Ò½Ñ§ÖеÄÉäÏßÕï¶ÏºÍ·ÅÉäÖÎÁƵȷ½Ãæ¶¼ÊǸ»ÓгÉЧµÄ£¨¼û·ÅÉäÐÔÍ¬Î»ËØÔÚũҵÉϵÄÓ¦ÓᢺËҽѧ£©¡£·ÅÉäÐÔ²âÁ¿µÄÍ¬Î»ËØÊ¾×Ù·½·¨ºÍ»î»¯·ÖÎö·½·¨Ôں˼¼ÊõµÄÓ¦ÓÃÖÐÒ²Õ¼ÓÐÖØÒªÎ»Öá£

¡¡¡¡²Î¿¼ÊéÄ¿
¡¡Â¬Ï£Í¥Ö÷±à£º¡¶Ô­×ÓºËÎïÀí¡·£¬Ô­×ÓÄܳö°æÉ磬±±¾©£¬1981¡£
¡¡P.Marmier and E.Sheldon,Physics of Nuclei and particles, Academic Press, New York and London, 1969.
¡¡E. Segr¨¨, Nuclei and particles,2nd ed., W. A.Benjamin,Reading, Mass., 1977.
¡¡Yuan,Luke Chai-Liu and Wu Chien-Shiung,Nuclear Physics,Part A. Academic Press, New York, 1961.
·ÅÉäÐÔ µÄÏà¹Ø²úÆ·£º
  • ǦÆÁ·ç¡¢Ç¦Ò¼ܡ¢µçÀë·øÉä¾¯Ê¾ÅÆ¡¢·ÖÔ´·À»¤ÆÁ¡¢Ç¦Ïä¡¢×¢ÉäÆ÷·À»¤Ìס¢±¨¾¯µÆ

    ²úÆ·Ãû³Æ£ºÇ¦ÆÁ·ç¡¢Ç¦Ò¼Ü¡¢µçÀë·øÉä¾¯Ê¾ÅÆ¡¢·ÖÔ´·À»¤ÆÁ¡¢Ç¦Ïä¡¢×¢ÉäÆ÷·À»¤Ìס¢±¨¾¯µÆ

    ²úÆ·ÃèÊö£ºµ¥ÁªÒƶ¯Ê½·À»¤ÆÁ·ç 1¡¢¹æ¸ñ³ß´ç£º  H¡ÁW£º1800¡Á900 (mm)2¡¢ÉÌÆ·ÃèÊö£º  Éϲ¿Ç¦Óлú²£Á§µÄ¸ß¶ÈΪ   H¡ÁW£º240¡Á240 (mm)3¡¢Ç¦µ±Á¿£º  Ǧ²£Á§0.5mmPb£¬  ϲ¿·ÖǦµ±Á¿Îª0.5mmpb4¡¢ÍâÊβÄÁÏ£ºÌ¼ËظְåÅç

  • REN300+REN-3He-NÐ͹̶¨Ê½ÖÐ×Ó¡¢Ù¤Â걨¾¯ÒÇ

    ²úÆ·Ãû³Æ£ºREN300+REN-3He-NÐ͹̶¨Ê½ÖÐ×Ó¡¢Ù¤Â걨¾¯ÒÇ

    ²úÆ·ÃèÊö£º±¾±¨¾¯ÒÇÓÉREN300ÔÚÏß·øÉ䰲ȫ±¨¾¯ÒǺÍREN-3He-NÖÐ×Ó̽ͷºÍREN-NaI30Ù¤Âê̽ͷ×é³É¡£¸Ã·øÉ䱨¾¯×°ÖÃÊDzÉÓÃÌØÊâÉè¼ÆµÄǰÖ÷Ŵóµç·£¬¾ßÓÐÁéÃô¶È¸ß¡¢²Ù×÷·½±ã¡¢×Ô¶¯ÏÔʾ¡¢Êý¾Ý´æ´¢ºÍ³¬ãÐÖµ±¨¾¯µÈÌØµã£¬ÄÜʵʱ¸ø³öxÉäÏß¡¢¦ÃÉäÏß¡¢ÖÐ×ÓÉäÏߵķøÉä¼ÁÁ¿ÂÊ¡£¿¼Âǵ½ÏÖ³¡²Ù×÷¡¢Ó¦¼±¿ìËÙÏìÓ¦µÄÐèÒª£¬Ö÷»ú°²×°

  • ÖÐ×Ó¼°X¡¢¦Ã¡¢¦ÂÍâÕÕÉä¸öÈ˼ÁÁ¿¼à²â·þÎñ

    ²úÆ·Ãû³Æ£ºÖÐ×Ó¼°X¡¢¦Ã¡¢¦ÂÍâÕÕÉä¸öÈ˼ÁÁ¿¼à²â·þÎñ

    ²úÆ·ÃèÊö£º·ÅÉ乤×÷ÈËÔ±¸öÈ˼ÁÁ¿Î¯Íмà²â·þÎñ     ÒÀ¾Ý¡¶GB18871-2002µçÀë·øÉä·À»¤Óë·øÉäÔ´°²È«»ù±¾±ê×¼¡·ºÍ¡¶GBZ128-2002Ö°ÒµÐÔÍâÕÕÉä¸öÈ˼à²â¹æ·¶¡·µÄÒªÇó£¬ÒÔÈÈÊ͹â¸öÈ˼ÁÁ¿¼Æ×÷Ϊ¼à²âÊֶΣ¬Îª·ÅÉ乤×÷ÈËÔ±Ìṩ¸öÈ˼ÁÁ¿Î¯Íмà²â·þÎñ£¬²¢ÎªÆóÒµ»òÎÀÉúÐÐÕþ²¿

  • REN600AÐͦÁ¡¢¦Â¡¢¦ÃÉäÏß±íÃæÎÛȾ¼ì²âÒÇ

    ²úÆ·Ãû³Æ£ºREN600AÐͦÁ¡¢¦Â¡¢¦ÃÉäÏß±íÃæÎÛȾ¼ì²âÒÇ

    ²úÆ·ÃèÊö£ºREN600AÐͦÁ¡¢¦Â¡¢¦ÃÉäÏß±íÃæÎÛȾ¼ì²âÒǼ´¿É¼ì²â¦Á¡¢¦Â¡¢¦ÃÉäÏߣ¬Ò²Äܼì²âµ½XÉäÏß,Ëü²ÉÓøßËÙǶÈëʽ΢´¦Æ÷×÷ΪÊý¾Ý´¦Àíµ¥Ôª£¬µãÕóʽ´óÆÁÄ»LCDÒº¾§ÏÔʾ£¬¶ÁÊýÇåÎú¡¢²Ù×÷·½±ã£¬¾ßÓÐ400Ìõ³¬´óÈÝÁ¿Êý¾Ý´æ´¢¡£ÒÇÆ÷²ÉÓýø¿ÚµÄ´óÃæ»ýMICA¸Ç¸ï̽²âÆ÷£¬¾ßÓнϸß̽²âЧÂÊ£¬¿É½øÐЦÁ¡¢¦Â·øÉä±íÃæÎÛȾ¼ì²âºÍX¡¢¦Ã·ø

  • REN200AÐÍX-¦Ã¸öÈ˼ÁÁ¿±¨¾¯ÒÇ

    ²úÆ·Ãû³Æ£ºREN200AÐÍX-¦Ã¸öÈ˼ÁÁ¿±¨¾¯ÒÇ

    ²úÆ·ÃèÊö£ºREN200AÐÍX¡¢¦Ã·øÉä¸öÈ˼ÁÁ¿µ±Á¿HP(10)¼à²âÒÇ£¨¼ò³Æ£º¸öÈ˼ÁÁ¿±¨¾¯ÒÇ£©ÄÚÖøßÁéÃô¶È¸Ç¸ñ¼ÆÊý¹ÜΪ̽²âÆ÷£¬Ö÷ÒªÓÃÀ´¼à²â¸÷ÖÖ·ÅÉäÐÔ¹¤×÷³¡ËùµÄX¡¢¦ÃÒÔ¼°Ó²¦ÂÉäÏߵķøÉ䣬¾ßÓÐÏìÓ¦¿ì£¬²âÁ¿·¶Î§¿íµÄÌØµã¡£ÄÜÏÔʾ¹¤×÷³¡ËùµÄ¼ÁÁ¿µ±Á¿ÂʺÍÀÛ»ý¼ÁÁ¿£¬¸ü»»µç³ØÊ±£¬ÈÕÆÚ¼°ÀÛ»ýÊý¾ÝÄÜÓÀ¾Ã±£´æ¡£¿ÉÑ¡ÅäRenRiPers

  • REN600ÐͦÁ¡¢¦Â±íÃæÎÛȾ²âÁ¿ÒÇ

    ²úÆ·Ãû³Æ£ºREN600ÐͦÁ¡¢¦Â±íÃæÎÛȾ²âÁ¿ÒÇ

    ²úÆ·ÃèÊö£º  REN600B¦Á¡¢¦Â±íÃæÎÛȾ¼ì²âÒDzÉÓÃÉÁ˸̽²â·¨£¬ÓÃÀ´¼ì²â·ÅÉäÐÔ¹¤×÷³¡ËùºÍʵÑéÊҵŤ×÷Ì¨Ãæ¡¢µØ°å¡¢Ç½Ãæ¡¢ÊÖ¡¢Ò·þ¡¢Ð¬µÈ±íÃæÊܦÁ»ò¦Â(¦Ã)·ÅÉäÐÔÎÛȾµÄ³Ì¶È£¬Ò²¿É¶ÔÃÜ·âÐͦÁ¡¢¦ÂÍ¬Î»ËØÐ¹Â©Ë®Æ½½øÐмì²â¡£ÒÇÆ÷¾ßÓнϸߵÄ̽²âЧÂÊ£»´ËÍâͨ¹ýÅäÌ×µÄ RenRiRate·øÉä¼ÁÁ¿¹ÜÀíÈí¼þ¿É½«´æ´¢µÄÊý¾Ý¶Á