µç»°:021-69515711
ÊÖ»ú:13818065015
´«Õæ:021-69515712
-
1049485
-
8459743
-
1993509414
£ºrenrimarket
market@renri.com.cn

REN200BÐÍX¡¢¦Ã·øÉä¸öÈ˼ÁÁ¿µ±Á¿HP(10)¼à²âÒÇ£¨¼ò³Æ£º¸öÈ˼ÁÁ¿±¨¾¯ÒÇ£©ÄÚÖøßÁ¿³Ì¸Ç¸ñ¼ÆÊý¹ÜΪ̽²âÆ÷£¬Ö÷ÒªÓÃÀ´¼à²â¸÷ÖÖ·ÅÉäÐÔ¹¤×÷³¡ËùµÄX¡¢¦ÃÒÔ¼°Ó²¦ÂÉäÏߵķøÉ䣬¾ßÓнϿíµÄ²âÁ¿·¶Î§¡£ÄÜÏÔʾ¹¤×÷³¡ËùµÄ¼ÁÁ¿µ±Á¿ÂʺÍÀÛ»ý¼ÁÁ¿£¬¸ü»»µç³ØÊ±£¬ÈÕÆÚ¼°ÀÛ»ýÊý¾ÝÄÜÓÀ¾Ã±£´æ¡£¿ÉÑ¡ÅäRenRiPersonal¸öÈË
RENϵÁÐÖÇÄÜ»¯·øÉä̽ͷ¾ù¿ÉºÍREN300¡¢REN300A¡¢REN300BϵÁÐÖ÷»úÅäÌ×ʹÓÃ,Ò²¿ÉÒÔµ¥¶ÀÅäÌ×RenRiArea·øÉäÇøÓò¼à²âÈí¼þʹÓá£ÇÒ¾ßÓÐRS485/RS232µÄͨѶÄÜÁ¦¡£ËùÓÐ̽ͷ¾ù¿Éµ¥¶ÀÍâ½Ó±¨¾¯µÆ£¬ÔÚ³¬ãÐÖµµÄÇé
REN300AÔÚÏß·øÉ䰲ȫ±¨¾¯ÒÇÊÇÒ»ÖÖÐÂÐ͵Äx-¦Ã·øÉäÁ¬Ðø¼à²â±¨¾¯×°Öã¬Ëü²ÉÓÃÌØÊâÉè¼ÆµÄǰÖ÷Ŵóµç·£¬¾ßÓÐÁéÃô¶È¸ß¡¢²Ù×÷·½±ã¡¢×Ô¶¯ÏÔʾºÍ³¬ãÐÖµ±¨¾¯µÈÌØµã£¬ÄÜʵʱ¸ø³öx¦Ã·øÉä¼ÁÁ¿ÂÊ£»ÒÇÆ÷ÄÚÖú£Á¿Êý¾Ý´æ´¢¹¦ÄÜ£¬ÄÜ´æ´¢10ÄêµÄÀúÊ·Êý¾ÝÇÒ±êÅäÌṩǿ´óµÄRenLocal·øÉä¼à²âÊý¾Ý·ÖÎöÈí¼þ¡£¿¼ÂÇ
REN700 ͨµÀʽ³µÁ¾·ÅÉäÐÔ¼ì²âϵͳ
¼ò½é£º REN700ÐÍͨµÀʽ³µÁ¾·ÅÉäÐÔ¼ì²âϵͳÊÇÓÃÓÚ¶Ôͨ¹ýͨµÀµÄ¿¨³µ¡¢¼¯×°ÏäµÈ³µÁ¾ÄÚÔËÊäÎïÆ·µÄ·ÅÉäÐÔÎÛȾ¼°·øÉäй¶ˮƽµÄÈ«Ììºò̽²âϵͳ¡£¸Ãϵͳ¾ßÓÐÁéÃô¶È¸ß¡¢Ì½²â·¶Î§¹ã¡¢ÏìӦʱ¼ä¶ÌµÈÌØµã£¬¿ÉʵÏÖ×Ô¶¯·øÉ䱨¾¯¡¢×Ô¶¯Êý¾Ý´æ´¢¡¢×Ô¶¯×¥ÅÄͨ¹ý³µÁ¾ÕÕÆ¬µÈ¹¦ÄÜ¡£Ö÷Òª°²×°ÔÚºË
REN500L»·¾³¼à²âÓÃX¡¢¦Ã·øÉä¿ÕÆø±ÈÊͶ¯ÄÜÂÊÒDzÉÓó¬´ó³ß´ç¡¢¸ßÁéÃôµÄÉÁ˸¾§Ìå×÷Ϊ̽²âÆ÷,·´Ó¦Ëٶȿ졣Ö÷»úÄÚÖÃ̽²âÆ÷ʹµÃÕû»úÓиü¿íµÄ²âÁ¿·¶Î§¡£ÒÇÆ÷Âú×ã¡¶»·¾³µØ±í¦Ã·øÉä¼ÁÁ¿Âʲⶨ¹æ·¶¡·ÖеͼÁÁ¿²¿·ÖµÄÒªÇ󡣸ÃÒÇÆ÷³ýÄܲâ¸ßÄÜ¡¢µÍÄܦÃÉäÏßÍ⣬»¹ÄܶԵÍÄÜXÉäÏß½øÐÐ׼ȷµÄ²âÁ¿£¬¾ßÓÐÁ¼ºÃµÄÄÜÁ¿ÏìÓ¦ÌØÐÔ¡£´ËÍâͨ¹ý
REN310ÐÍÁ¢Öùʽ·øÉä¼à²âϵͳ£¬Ö÷ÒªÓÃÓÚ·ÅÉäÐÔ¼à²â³¡ËùµÄÐÐÈË»òÐаüͨ¹ýµÄ¼à²âϵͳ£¬²ÉÓôóÌå»ýµÄÉÁ˸Ìå̽²âÆ÷×÷Ϊ̽²âÆ÷£¬¾ßÓÐÌå»ýС£¬±ãÓÚЯ´ø£¬ÁéÃô¶È¸ß£¬Îó²îСµÄÌØµã£¬ÊÊÓÃÓëºËÓ¦¼±µÈÌØÊâµÄ·ÅÉäÐÔ¼ì²â³¡ºÏ¡£¸ÃϵͳÖ÷ÒªÓɰ²×°ÔÚÏÖ³¡µÄÁ¢ÖùºÍÔ¶³Ì¼ÆËã»úϵͳ×é³É¡£Á¢ÖùÄÚÖõÄ
RENϵÁÐÖÇÄÜ»¯·øÉä̽ͷ¾ù¿ÉºÍREN300¡¢REN300A¡¢REN300BϵÁÐÖ÷»úÅäÌ×ʹÓÃ,Ò²¿ÉÒÔµ¥¶ÀÅäÌ×RenRiArea·øÉäÇøÓò¼à²âÈí¼þʹÓá£ÇÒ¾ßÓÐRS485/RS232µÄͨѶÄÜÁ¦¡£ËùÓÐ̽ͷ¾ù¿Éµ¥¶ÀÍâ½Ó±¨¾¯µÆ£¬ÔÚ³¬ãÐÖµµÄÇé¿öϾ͵ظø³öÉù¹â±¨¾¯¡£ 1¡¢²âÁ¿ÉäÏßÀàÐÍ£ºX¡¢¦ÃÉäÏß2¡¢Ì½²âÆ÷£ºGM¹Ü̽
REN800AÐÍÖÐ×Ó¡¢X¡¢¦Ã·øÉäÖÜΧ¼ÁÁ¿µ±Á¿(ÂÊ)ÒÇÄÚÖÃÒ»¸ö½ø¿ÚHe-3¹ÜºÍÒ»¸öGM¹Ü×÷Ϊ̽²âÆ÷£¬ÄÜͬʱ¼ì²âÖÐ×ÓºÍX¡¢¦ÃÉäÏß¡£¸ÃÒÇÆ÷ʹÓ÷½±ã£»ÁéÃô¶È¸ß¡¢¿¹¦ÃÐÔÄܺá¢ÄÜÁ¿ÏìÓ¦ÌØÐԺᣴËÍâͨ¹ýÅäÌ×µÄRenRiRate·øÉä¼ÁÁ¿¹ÜÀíÈí¼þ¿É½«´æ´¢µÄÊý¾Ý¶Á³öºó·ÖÎö¡£¸ÃÒÇÆ÷ÊÊÓÃÓÚ»·±£¡¢»¯¹¤¡¢Ê¯ÓÍ¡¢Ò½ÁÆ¡¢½ø³ö¿ÚÉ̼ì
¶Ô¿ÕÇ鱨À×´ïÕ¾µç´Å»·¾³·À»¤ÒªÇó(GB 13618-92)
2006/9/16 20:50:00
¶Ô¿ÕÇ鱨À×´ïÕ¾µç´Å»·¾³·À»¤ÒªÇó
Requirements of electromagnetic enviroment
proteetion for air defense surveillance radar station
1 Ö÷ÌâÄÚÈÝÓëÊÊÓ÷¶Î§
±¾±ê×¼¹æ¶¨Á˶ԿÕÇ鱨À×´ïÕ¾¶Ô¸ßѹ¼Ü¿ÕÊäµçÏß·¡¢±äµçÕ¾¡¢Ìú·¡¢Æû³µ¹«Â·ºÍ¹¤¡¢¿Æ¡¢Ò½É䯵É豸µÈµç´Å·øÉäµÄ·À»¤ÒªÇ󣬲¢¹æ¶¨Á˶ԿÕÇ鱨À×´ïÕ¾ºÍÆäËûÎÞÏßµçÒµÎñÖ®¼äе÷µÄÒÀ¾Ý¡£
±¾±ê×¼ÊÊÓÃÓÚ¹¤×÷ƵÂÊΪ80¡«3000MHzƵ¶ÎÄڵĶԿÕÇ鱨À×´ïÕ¾¡£
2 ÊõÓï
2.1 ¶Ô¿ÕÇ鱨À×´ïÕ¾ air defense surveillance radar station
¶Ô¿ÕÇ鱨À×´ïÕ¾ÓɶԿÕÇ鱨À״ѯÎÊ»úÒÔ¼°¸½ÊôÉ豸µÈ×é³É£¬ÔÚ·À¿ÕºÍ¿ÕÖн»Í¨¹ÜÖÆÏµÍ³ÖУ¬ÓÃÀ´ËÑË÷¡¢¼àÊÓºÍʶ±ð¿ÕÖÐÄ¿±ê£¬²â¶¨Æä×ø±ê¡£¶Ô¿ÕÇ鱨À×´ïÒ»°ã°üÀ¨¾¯½ä¡¢Òýµ¼¡¢²â¸ß¡¢Ä¿±êָʾ¡¢º½¹ÜÀ×´ïµÈ¡£
2.2 À×´ïÕ¾µç´Å»·¾³ radar station electromagnetic environment
À×´ïÕ¾ÖÜΧ£¬×ÔÈ»ºÍÈËΪµÄ¸÷ÖÖµç´Å·øÉäÔÚÀ״﹤×÷Ƶ¶ÎÄڵĵç´ÅÄÜÁ¿¡¢Ê±¼ä¼°¿Õ¼ä·Ö²¼µÄ×ÜÌå¡£
2.3 ×î´óÈÝÐí¸ÉÈŵçѹ maximum permitted interference voltage
ÔÚ²»ÄÜÍêÈ«±ÜÃâÓк¦¸ÉÈŵÄÌõ¼þÏ£¬¸ù¾Ý¸ÉÈÅ·À»¤×¼ÔòÈ·¶¨µÄÀ×´ï½ÓÊÕ»úÊäÈë¶ËÈÝÐíµÄ×î´ó¸ÉÈŵçѹ¡£
2.4 ×î´óÈÝÐí¸ÉÈų¡Ç¿ maximum permitted interference field strengrh
À×´ï½ÓÊÕ»úÊäÈë¶Ë¸ÉÈŵçѹΪ×î´óÈÝÐíֵʱ£¬ÔÚÀ×´ïÌìÏßÖÐÐĸ߶ȴ¦µÄ¸ÉÈų¡Ç¿¡£
2.5 À×´ïÕ¾·À»¤¼ä¾à radar station protection distance
ÄÜÂú×ã¸ÉÈÅ·À»¤×¼ÔòÒªÇóµÄÀ×´ïÌìÏßÓë¸÷¸ÉÈÅÔ´Ö®¼äµÄ×îС¼ä¸ô¾àÀë¡£
2.6 ¸ÉÈÅʱ¼ä interference duration
À×´ï½ÓÊÕ»úÊäÈë¶Ë¸ÉÈŵçѹ³¬¹ý×î´óÈÝÐíÖµµÄ³ÖÐøÊ±¼ä¡£
2.7 µç´ÅÕϰÎï electromagnetic obstacle
ÄܶÔÀ×´ïËù·øÉäµÄ¸ßƵµç´Å²¨²úÉúÕڱκ͸ÉÈÅÓ°ÏìµÄÉèÊ©£¬Í³³Æµç´ÅÕϰÎï¡£
3 ¸ÉÈÅ·À»¤×¼Ôò
3.1 ¶Ô¿ÕÇ鱨À×´ïÔÚÓÐÔ´¸ÉÈŲ»¿É±ÜÃâµÄÌõ¼þÏ£¬ÈÝÐíÓв»´óÓÚ5%µÄ̽²â¾àÀëËðʧ¡£
3.1.1 ¶Ô°×ÔëÉù¸ÉÈÅ£¬À×´ï½ÓÊÕ»úÊäÈë¶ËµÄ×î´óÈÝÐí¸ÉÈŵçѹΪ£º
(1)
ʽÖУºUjfmax---½ÓÊÕ»úÊäÈë¶Ë×î´óÈÝÐí¸ÉÈŵçѹÓÐЧֵ£¬¦ÌV£»
Unf---µÈЧµ½½ÓÊÕ»úÊäÈë¶ËµÄϵͳÔëÉùµçѹÓÐЧֵ£¬¦ÌV¡£È¡Öµ¼û±í1¡£
±í1 ½ÓÊÕ»úÊäÈë¶ËµÈЧÔëÉùµçѹ
Ƶ ÂÊ MHz | 80¡«300 | 300¡«3000 |
Unf ¦ÌV | 0.77 | 0.85 |
3.1.2 ¶Ô²»Í¬ÐÔÖʵÄËæ»ú¸ßƵÂö³å¸ÉÈÅ£¬ÔÚÀ×´ï½ÓÊÕ»úÊäÈë¶ËµÄ×î´óÈÝÐí¸ÉÈŵçѹΪ£º
(2)
ʽÖУºC -- Ïà¶ÔÓÚ°×ÔëÉù×î´óÈÝÐí¸ÉÈŵçѹµÄÔöÁ¿ÏµÊý£¬È¡Öµ¼û±í2¡£
±í2 ²»Í¬ÐÔÖÊËæ»ú¸ßƵÂö³å¸ÉÈŵÄÔöÁ¿ÏµÊý
¸ÉÈÅÔ´ | ¸ß ѹ ¼Ü ¿Õ ÊäµçÏß·¡¢±äµçÕ¾ |
µçÆø»¯ Ìú · |
Æû³µ ¹«Â· |
¸ß Ƶ ÈȺϻú |
¹¤Òµ µçº¸ |
¸ß Ƶ ÀíÁÆ»ú |
¸ßƵ¯ |
C | 3 | 4 | 4 | 4 | 5.4 | 5.4 | 5.4 |
3.1.3 ¶Ô½ÓÊÕ»úͨƵ´øÒÔÍâµÄµ÷·ù¡¢µ÷Ƶ¸ÉÈÅÐźţ¬ÔÚÀ×´ï½ÓÊÕ»úÊäÈë¶ËµÄ×î´óÈÝÐí¸ÉÈŵçѹ¡£
3.1.3.1 ½ÓÊÕ»úÊäÈë¶Ë¶ÔͨƵ´øÍâÁÚÆµ¸ÉÈÅÐźŵÄ×î´óÈÝÐí¸ÉÈŵçѹΪ£º
(3)
ʽÖУºUip¡÷fmax---½ÓÊÕ»úͨƵ´øÍâµÄ×î´óÈÝÐí¸ÉÈŵçѹ·åÖµ£¬dB(¦ÌV)£»
Ujpmax---½ÓÊÕ»úͨƵ´øÄÚ×î´óÈÝÐí¸ÉÈŵçѹ·åÖµ£¬È¡Öµ¼û±í3£»
K¡÷f---¸ÉÈÅÐÅºÅÆµÂÊÆ«Àë½ÓÊÕ»ú¹¤×÷ƵÂÊ¡÷fʱµÄ½ÓÊÕ»ú´øÍâÒÖÖÆÏµÊý£¬dB£¬È¡Öµ¼û±í4¡£
±í3 ½ÓÊÕ»úͨƵ´øÄÚ×î´óÈÝÐí¸ÉÈŵçѹ
¸ÉÈÅÖÖÀà | µ÷ ·ù | µ÷ Ƶ | ||
Ƶ ¶Î MHz | 80¡«300 | 300¡«3000 | 80¡«300 | 300¡«3000 |
Ujpmax dB(¦ÌV) | 6 | 6.9 | 18 | 18.7 |
±í4 ½ÓÊÕ»ú´øÍâÒÖÖÆÏµÊý
ƵƫMHz | K¡÷fdB | |
80¡«300MHz | 300¡«3000MHz | |
0.3 | 10 | ¡ª¡ª |
0.5 | 20 | ¡ª¡ª |
1.0 | 50 | ¡ª¡ª |
1.5 | 63 | 10 |
2.0 | 70 | 33 |
2.5 | ¡ª¡ª | 51 |
3.0 | ¡ª¡ª | 62 |
3.5 | ¡ª¡ª | 66 |
4.0 | ¡ª¡ª | 70 |
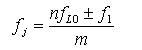
3.1.3.2 ¸ÉÈÅÐÅºÅÆµÂÊfjÂú×ã(4)ʽÌõ¼þʱ£¬ÔÚÀ×´ï½ÓÊÕ»úÊäÈë¶ËµÄ¸ÉÈŵçѹӦСÓÚ85dB(¦ÌV)¡£
(4)
ʽÖУºfj---¸ÉÈÅÐÅºÅÆµÂÊ£¬MHz£»
n---±¾ÕñƵÂʵÄг²¨´ÎÊý£¬ÕýÕûÊý1£¬2£¬3£»
fLO---½ÓÊÕ»ú±¾ÕñƵÂÊ£¬MHz£»
fI---½ÓÊÕ»úÖÐÆµÆµÂÊ£¬MHz£»
m---¸ÉÈÅÆµÂʵÄг²¨´ÎÊý£¬ÕýÕûÊý1£¬2£¬3¡£
3.1.3.3 Èç¹ûÓÐÁ½ÉÏ»òÁ½¸öÒÔÉϵĸÉÈÅÐźÅͬʱ½øÈëÀ×´ï½ÓÊÕ»úÊäÈë¶Ë£¬ÆäƵÂÊÂú×ã²úÉú¶þ¡¢Èý½×»¥µ÷¸ÉÈÅÌõ¼þʱ£¬ÆäÖÐÒ»¸ö¸ÉÈÅÐźŵĵçѹӦµÍÓÚ60dB(¦ÌV)¡£
3.1.3.4 ÔÚÀ×´ï½ÓÊÕ»ú¸ß·Åͨ´øÍâ,¸ÉÈÅÐÅºÅÆµÂʲ»Âú×ã(4)ʽºÍ»¥µ÷¸ÉÈÅÌõ¼þʱ,¸ÉÈÅÐźŵçѹӦСÓÚ110dB(¦ÌV)¡£
3.2 µç´ÅÕϰÎï¶ÔÀ×´ï̽²â¾àÀëÓ°ÏìµÄËðʧ£¬²»³¬¹ý̽²â¾àÀëµÄ5%¡£
3.3 Ò»´ÎÁ¬½Ó¸ÉÈÅʱ¼ä²»³¬¹ý10s¡¢Á½´Î¸ÉÈŵļä¸ôʱ¼ä²»ÉÙÓÚ10s¡¢Ã¿Ð¡Ê±ÀۼƸÉÈÅʱ¼ä²»³¬¹ý¹¤×÷ʱ¼äµÄ5%¡£
4 ·À»¤¼ä¾à
¶Ô¿ÕÇ鱨À×´ïÕ¾¶Ô¸÷ÖÖ¸ÉÈÅÔ´µÄ·À»¤¼ä¾à¼û±í5¡£
±í5 ·À»¤¼ä¾à
¸É ÈÅ Ô´ | ·À»¤¼ä¾à£¬km | ±¸ ×¢ | ||
80¡«300MHz | 300¡«3000MHz | |||
¸ßѹ¼Ü¿Õ ÊäµçÏß· |
500kV | 1.6 | 1.0 | |
220¡«330kV | 1.2 | 0.8 | ||
110kV | 1.0 | 0.7 | ||
¸ßѹ±äµçÕ¾ | 500kV | 3.0 | 1.2 | |
220¡«330kV | 1.6 | 0.8 | ||
110kV | 1.4 | 0.7 | ||
µçÆø»¯Ìú· | ¹ú²ú»ú³µ | 0.8 | 0.7 | |
·ÇµçÆø»¯Ìú· | 0.6 | 0.5 | ||
Æû³µ¹«Â· | ¸ßËÙ¡¢Ò»¼¶ | 1.0 | 0.7 | |
¶þ¼¶ | 0.8 | 0.7 | ||
¸ßƵÈȺϻú | 1.2 | 1.2 | ´Ó³§·¿ËãÆð | |
¸ßƵ¯ | P¡Ü100kW | 0.5 | 0.5 | ÓÐÆÁ±ÎµÄ³§·¿£¬ ´Ó³§·¿ËãÆð |
¹¤Òµµçº¸ | P¡Ü10kW | 0.5 | 0.5 | |
³¬¸ßƵÀíÁÆ»ú | P¡Ü1kW | 1.0 | 1.0 | ´Ó¹¤×÷¼äËãÆð |
Å©ÓõçÁ¦É豸 | P¡Ü1kW | 0.5 | 0.5 |
×¢£ºa.ÌØÊâÇé¿öÏ£¬°´¸ÉÈÅ·À»¤×¼ÔòµÄÒªÇ󣬲ÎÕÕÓйظ½Â¼½øÐвâËã¡£
b.À×´ï¶Ôµ÷·ù¡¢µ÷ƵÐźŷ¢ËÍÉ豸µÄ·À»¤¼ä¾à°´Óйظ½Â¼Öеķ½·¨¼ÆËã¡£
²úÆ·Ãû³Æ£ºÇ¦ÆÁ·ç¡¢Ç¦Ò¼ܡ¢µçÀë·øÉä¾¯Ê¾ÅÆ¡¢·ÖÔ´·À»¤ÆÁ¡¢Ç¦Ïä¡¢×¢ÉäÆ÷·À»¤Ìס¢±¨¾¯µÆ
²úÆ·ÃèÊö£ºµ¥ÁªÒƶ¯Ê½·À»¤ÆÁ·ç 1¡¢¹æ¸ñ³ß´ç£º H¡ÁW£º1800¡Á900 (mm)2¡¢ÉÌÆ·ÃèÊö£º Éϲ¿Ç¦Óлú²£Á§µÄ¸ß¶ÈΪ H¡ÁW£º240¡Á240 (mm)3¡¢Ç¦µ±Á¿£º Ǧ²£Á§0.5mmPb£¬ ϲ¿·ÖǦµ±Á¿Îª0.5mmpb4¡¢ÍâÊβÄÁÏ£ºÌ¼ËظְåÅç
²úÆ·Ãû³Æ£ºREN600ÐͦÁ¡¢¦Â±íÃæÎÛȾ²âÁ¿ÒÇ
²úÆ·ÃèÊö£º REN600B¦Á¡¢¦Â±íÃæÎÛȾ¼ì²âÒDzÉÓÃÉÁ˸̽²â·¨£¬ÓÃÀ´¼ì²â·ÅÉäÐÔ¹¤×÷³¡ËùºÍʵÑéÊҵŤ×÷Ì¨Ãæ¡¢µØ°å¡¢Ç½Ãæ¡¢ÊÖ¡¢Ò·þ¡¢Ð¬µÈ±íÃæÊܦÁ»ò¦Â(¦Ã)·ÅÉäÐÔÎÛȾµÄ³Ì¶È£¬Ò²¿É¶ÔÃÜ·âÐͦÁ¡¢¦ÂÍ¬Î»ËØÐ¹Â©Ë®Æ½½øÐмì²â¡£ÒÇÆ÷¾ßÓнϸߵÄ̽²âЧÂÊ£»´ËÍâͨ¹ýÅäÌ×µÄ RenRiRate·øÉä¼ÁÁ¿¹ÜÀíÈí¼þ¿É½«´æ´¢µÄÊý¾Ý¶Á
²úÆ·Ãû³Æ£ºREN500ÐÍÖÇÄÜ»¯¦Ö¡¢¦Ã·øÉäÒÇ
²úÆ·ÃèÊö£º REN500ÐÍÖÇÄÜ»¯¦Ö¡¢¦Ã·øÉäÒDzÉÓøßÁéÃôµÄÉÁ˸¾§Ìå×÷Ϊ̽²âÆ÷,·´Ó¦ËÙ¶È¿ì, ºÍ¹úÄÚͬÀàÒÇÆ÷Ïà±È£¬¸ÃÒÇÆ÷¾ßÓиü¿íµÄ¼ÁÁ¿ÂʲâÁ¿·¶Î§¡£ ¸ÃÒÇÆ÷³ýÄܲâ¸ßÄÜ¡¢µÍÄܦÃÉäÏßÍ⣬»¹ÄܶԵÍÄÜXÉäÏß½øÐÐ׼ȷµÄ²âÁ¿£¬¾ßÓÐÁ¼ºÃµÄÄÜÁ¿ÏìÓ¦ÌØÐÔ¡£´ËÍâͨ¹ýÅäÌ×µÄRe
²úÆ·Ãû³Æ£ºREN510ÐͱãЯʽ¦ÃÆ×ÒÇ
²úÆ·ÃèÊö£ºREN510ÐͱãЯʽ¦ÃÆ×ÒÇÖ÷ÒªÓÃÓÚ°²¼ì¡¢·´¿Ö¡¢ºËʹÊÏÖ³¡µÄÎÛȾ·ÖÎö£¬¿É½øÐЦ÷øÉä¼ÁÁ¿µÄ²âÁ¿£¬Í¬Ê±ÏµÍ³ÄÚÖúËËØ¿â£¬¿ÉÒÔ×Ô¶¯Ê¶±ðÈ˹¤¼°ÌìÈ»Í¬Î»ËØ¡£ÒÇÆ÷ΪһÌåʽ£¬ÄÚÖÃ2Ó¢´çNaI(Tl) ¦Ã̽²âÆ÷£¬¿Éͬʱ²âÁ¿¦ÃÄܯס¢¦Ã¼ÁÁ¿ÂÊ¡£ÒÇÆ÷ΪȫÊý×Ö»¯£¬¼¯Ì½²âÆ÷¡¢³ÉÐÍ·Å´óÆ÷¡¢¶àµÀ·ÖÎöÆ÷¡¢µçÔ´¡¢´¥ÃþÆÁ¡¢ÄÚ´æÎªÒ»Ì壬¹¦ºÄ
²úÆ·Ãû³Æ£ºµçÀë·øÉ侯¸æ±ê־ů
²úÆ·ÃèÊö£º²ÄÁÏ£º PVCËÜÁÏ ²»¸É½º ¹æ¸ñ£º 25 ¡Á 30cm ˵Ã÷£ºµçÀë·øÉ侯¸æ±êÖ¾µÄº¬ÒåÊÇʹÈËÃÇ×¢Òâ¿ÉÄÜ·¢ÉúµÄΣÏÕ¡£Æä±³¾°Îª»ÆÉ«£¬ÕýÈý½ÇÐα߿ò¼°µçÀë·øÉä±ê־ͼÐξùΪºÚÉ«£¬¡°µ±ÐĵçÀë·øÉ䡱ÓúÚÉ«´ÖµÈÏßÌå×Ö¡£±êÅÆµÄ³ß´ç¡¢ÐÎ×´ºÍÑÕÉ«¼°ÎÄ×ÖÃèÊöÑϸñ°´¡¶GB 18871-200
²úÆ·Ãû³Æ£ºREN300ÐÍÔÚÏßx-¦Ã·øÉ䰲ȫ±¨¾¯ÒÇ
²úÆ·ÃèÊö£º REN300ÔÚÏßx-¦Ã·øÉ䰲ȫ±¨¾¯ÒÇÊÇÒ»ÖÖÐÂÐ͵Äx-¦Ã·øÉäÁ¬Ðø¼à²â±¨¾¯×°Öã¬Ëü²ÉÓÃÌØÊâÉè¼ÆµÄǰÖ÷Ŵóµç·£¬¾ßÓÐÁéÃô¶È¸ß¡¢²Ù×÷·½±ã¡¢×Ô¶¯ÏÔʾ¡¢Êý¾Ý´æ´¢ºÍ³¬ãÐÖµ±¨¾¯µÈÌØµã£¬ÄÜʵʱ¸ø³öx¦Ã·øÉä¼ÁÁ¿ÂÊ¡£¿¼Âǵ½ÏÖ³¡²Ù×÷¡¢Ó¦¼±¿ìËÙÏìÓ¦µÄÐèÒª£¬Ö÷»ú°²×°ÔÚ·øÉäÏÖ³¡£¬ÊµÏÖʵʱ¼à²âÓë¾ÍµØ±¨¾¯£¬Í¨¹ýRS48